Variante Bac 2009 Informatica Intensiv Rezolvate - Rezolvari variante bac 2009 informatica intensiv. Varianta 11 Varianta 12 Varianta 13 Varianta 14 Varianta 15.


Variante Bac Informatica 2009 Rezolvate

This entry was posted in Informatica Variante 2009 Intensiv CC and tagged 100 de variante informatica intensiv bacalaureat informatica varianta 41 variante cc variante informatica 2009.

Variante bac 2009 informatica intensiv rezolvate. Iata o parte dintre rezolvari pentru variantele de la Informatica intensiv limbajul C. Subiectul al III-lea problema 4. Rezolvari Variante Informatica C Bac 2008 gen5kj9vjpno.

Rezolvare subiectul 1 varianta 11 Variante BAC 2009 intensiv informatica admin on September 19 2019. Bookmark the permalink. Rezolvare variante informatica intensiv C.

La vie moderne présente des avantages mais aussi des désavantages. Subiectele propuse in 2008 si 2009 pentru Examenul de Bacalaureat la Informatica. Varianta 16 Varianta 17 Varianta 18 Varianta 19 Varianta 20.

Rezolvare subiectul 1 varianta 14 Variante BAC 2009 intensiv informatica Incearca sa rezolvi subiectul 1 din varianta de mai jos Varianta 14 2009 intensiv informatica si verifica-ti raspunsurile urmarind instructiunile. 329 din 2006 iar tu ai putea să te afli în situaţia de a le încălca acum. Unde gasesc si eu variantele rezolvate pentru bac din anul 2009.

Tot ce trebuie sa stii despre acest examen. Mai jos puteti gasi rezolvate variantele propuse pentru examenul de bacalaureat din 2009. 8 din 1996 privind dreptul de autor şi drepturile conexe a fost modificată semnificativ prin Legea nr.

Trimisă pe 13 Mai 2012. M1 Bac 2009 Mate Info. Rezolvari Informatica intensiv C.

Subiecte rezolvari modele de subiecte variante rezolvate pentru diferite materii matematica limba romana. Muzica Noua Manele Noi 2009 Hip Hop Music Sneaker Release Phones Review Muzica Noua. Subiecte Variante bac 2009 Rezolvari.

Pentru rezolvari la informatica intensiv C. Subiectul al II-lea problema 5. Varianta 1 Varianta 2 Varianta 3 Varianta 4 Varianta 5.

Int main int i xsj. Speram sa va ajute. Rezolvare variante informatica intensiv C.

Eşti pe cale să postezi un mesaj care poate încuraja pirateria şi distribuţia ilegală de materiale pe internet. Varianta 56 2009 Informatica Intensiv CC This entry was posted in Informatica Variante 2009 Intensiv CC and tagged 100 de variante informatica intensiv bacalaureat informatica varianta 56 variante cc variante informatica 2009. Programa pentru toate disciplinele o puteti descarca accesand urmatorul link Programa pentru bacalaureat 2009 la toate disciplinele.

Subiecte rezolvate variante bacalaureat Informatica intensiv C INFORMATICA INTENSIV C. Intrucat raspunsurile de la cerinta 2b sunt la indemana elevului raspunsul pe care l-am sugerat. This entry was posted in Informatica Variante 2009 Intensiv CC and tagged 100 de variante informatica intensiv bacalaureat informatica varianta 75 variante cc variante informatica 2009.

Variante bacalaureat informatica 2009. 123 din 2005 precum şi prin Legea nr. Rezolvare subiectul 1 variante 1-20 variante BAC informatica intensiv 2009 admin on September 22 2019 Mai jos puteti gasi linkurile catre rezolvarile subiectelor 1 din primele 20 de variante de la BAC informatica intensiv 2009.

Subiecte si rezolvari pentru examenul de bacalaureat 2020 pentru ca toata lumea sa fie informata. Subiectul al II-lea problema 5. Rezolvari Variante Informatica.

Rezolvari Informatica intensiv C. Pentru sugestii reclamatii recomandari sau rezolvari proprii nu ezitati sa postati un comentariu sau sa scrieti. Varianta 6 Varianta 7 Varianta 8 Varianta 9 Varianta 10.

Am nevoie de variantele REZOLVATE BAC INFORMATICA NEINTENSIV 2009 va rog. Bac2007-Varianta 1 Bac2007-Varianta 2 Bac2007-Varianta 3 Bac2007-Varianta 4 Bac2007-Varianta 5 Bac2007-Varianta 6 Bac2007-Varianta 7 Bac2007-Varianta 8 Bac2007-Varianta 9 Bac2007-Varianta 10 Bac2007-Varianta. Trimisă pe 21 Octombrie 2015.

Iata o parte dintre rezolvari pentru variantele de la Informatica intensiv limbajul C. Informatica Intensiv C - Subiectul I - Variante 001-100 - An 2008 December 2019 38. Subiecte Variante bac 2007 Rezolvari.

Incearca sa rezolvi subiectul 1 din varianta de mai jos Varianta 11 2009 intensiv informatica si verifica-ti raspunsurile urmarind instructiunile. Rezolvari variante bac informatica intensiv 2009matematica m1 bacsubiecte bac matematica rezolvatebareme de corectare2009201320142017. 12790948 Rezolvari Informatica Intensiv Si Neintensiv Bacalaureat 2008 88608723 Psihologie Variante Com Primate BAC 2009 Variante Complete.

Bacalaureatul bac variante rezolvare oral scris limba subiectul orala scrisa proba rezolvari referat eseu matematica comentariu bilete 2009 fizica info informatica tic germana franceza Caracterizarea personaje personajelor personajul personajului 100. Anul şcolar 2008 - 2009 este organizat în două semestre după cum urmează. Rezolvari variante bac 2009 intensiv informatica.

Bac2009-Varianta 1 Bac2009-Varianta 2 Bac2009-Varianta 3 Bac2009-Varianta 4 Bac2009-Varianta 5 Bac2009-Varianta 6 Bac2009-Varianta 7 Bac2009-Varianta 8 Bac2009-Varianta 9 Bac2009-Varianta 10 Bac2009-Varianta. Varianta 21 Varianta 22 Varianta 23 Varianta 24 Varianta 25. Variante Rezolvata Bac 2009 November 2019 53.

On est entouré par beaucoup de choses qui peuvent nous attirer et qui réussissent nous éloigner des choses qui sont vraiment importantes comme la famille les amis les personnes qui donnent un sens. Rezolvari variante bac 2009 intensiv informatica. Sall vreau si eu variantele la informatica din anul 2009 va rog.

SEMESTRUL I luni 15 septembrie 2008 - vineri 30 ianuarie 2009 27 octombrie - 2 noiembrie 200 sunt în vacanţă clasele din învăţământul primar şi. Variante 2009 Informatica intesiv CC. Subiectul al III-lea problema 3.

Home current Explore Explore All. 285 din 2004 prin OUG nr. Subiecte bac 2008 rezolvarirezolvari bac 2008rezolvari variante bac 2008rezolvari subiecte bac 2008programe.


Varianta 97 2009 Informatica Intensiv C C


Varianta 58 2009 Informatica Intensiv C C


Varianta 28 2009 Informatica Intensiv C C


Varianta 11 2009 Informatica Intensiv C C


Varianta 33 2009 Informatica Intensiv C C


Variante Bac Informatica 2009 Pdf


Varianta 17 2009 Informatica Intensiv C C


Rezolvari Variante Bac 2009 Informatica Subiectul 3 Neintensiv


Varianta 13 2009 Informatica Intensiv C C


Varianta 13 2009 Informatica Intensiv C C


Variante Bac Informatica Rezolvate


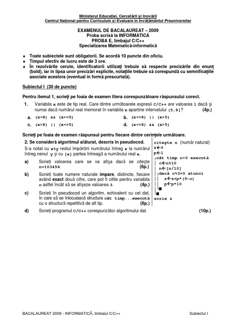
Rezolvari Variante Bac 2009 Informatica Intensiv C Subiectul 1


Varianta 92 2009 Informatica Intensiv C C


Varianta 11 2009 Informatica Intensiv C C


Related Posts